'잡동사니'에 해당되는 글 14113건
- 2023.06.25 6.25
- 2023.06.25 기절
- 2023.06.24 피곤 2
- 2023.06.23 recv 와 read 차이
- 2023.06.23 shell과 nc를 이용하여 주기적으로 데이터 보내기
- 2023.06.22 intel 내장형 그래픽과 4k60p(DP)
- 2023.06.21 pxe boot
- 2023.06.21 필터 차수(order)
- 2023.06.21 inotify
- 2023.06.21 intel 내장 세대별 해상도
flag 안쓰면(NULL) 둘 다 거의 동일하다 라고 보면 될 듯.
| The only difference between recv() and read(2) is the presence of flags. With a zero flags argument, recv() is generally equivalent to read(2) (but see NOTES). Also, the following call recv(sockfd, buf, len, flags); is equivalent to recvfrom(sockfd, buf, len, flags, NULL, NULL); NOTES If a zero-length datagram is pending, read(2) and recv() with a flags argument of zero provide different behavior. In this circumstance, read(2) has no effect (the datagram remains pending), while recv() con‐ sumes the pending datagram. The socklen_t type was invented by POSIX. See also accept(2). According to POSIX.1, the msg_controllen field of the msghdr structure should be typed as socklen_t, and the msg_iovlen field should be typed as int, but glibc currently types both as size_t. See recvmmsg(2) for information about a Linux-specific system call that can be used to receive multiple datagrams in a single call. |
[링크 : https://linux.die.net/man/2/recv]
'Linux API > network' 카테고리의 다른 글
| tcp keepalive (0) | 2025.12.22 |
|---|---|
| bind(): Address already in use (0) | 2023.07.21 |
| AF_PACKET로 link layer 열기 (0) | 2022.06.09 |
| linux tcp server listen accept connect (0) | 2022.05.11 |
| ssl socket 예제 (0) | 2022.03.25 |
원하는건 좀 달라서 수정이 필요한데.. 아이디어는 아래 글에서 발견
| while echo "hello"; do sleep 20 done | nc -q 192.168.100.161 2612 |
[링크 : https://stackoverflow.com/questions/44078540]
echo는 while 문에서 주기적으로 생성하고
done 에서 파이프 라인으로 연결해주면 끝!
| $ cat nc2.sh target=192.168.0.100 while [ 1 ] do echo -n -e "\x01\x02\x03\x04\x05\x06" sleep 1 done | nc ${target} 6000 | hexdump -C |
'프로그램 사용 > nc' 카테고리의 다른 글
| nc 엔터 없이 보내기 (0) | 2024.01.17 |
|---|---|
| nc -k 옵션 (0) | 2021.11.19 |
USB C to DP 구매하고(회사돈으로!)
DP 1.4 지원하는 모니터에 연결하니 4k60p잘 나온다.
7 세대, 8 세대, 10세대 모두 ok
좀 비싼 해결책으로는 USB-C to HDMI2.0 을 구매하는건데
dp는 싼건 8천원 선 HDMI2.0은 3~4만원대로 모니터가 지원만 한다면
DP 컨터버로 쓰는게 나을 듯.
그런데 DP 컨버터라 하기도 애매한게..
USB-C ALT DP 로 모드만 설정해주는 IC 하나 들어있으면
DP 선 그대로~ 물리적으로만 연결해주면 될 것 같은데(혹은 Level shifter 정도?)
의외로 싸진 않은 느낌..
'개소리 왈왈 > 컴퓨터' 카테고리의 다른 글
| 보조배터리 (0) | 2023.07.26 |
|---|---|
| 삼성 always 9 13인치 분해 (0) | 2023.07.12 |
| intel 내장 세대별 해상도 (0) | 2023.06.21 |
| 1050 구매 (0) | 2023.06.20 |
| 박스 컴퓨터.. 실패? (0) | 2023.06.18 |
'프로그램 사용 > PXE(네트워크 부트)' 카테고리의 다른 글
| DHCP hostname (0) | 2020.10.14 |
|---|---|
| DHCP / BOOTP / TFTP (4) | 2010.04.27 |
| PXE 부팅하기 (0) | 2010.04.25 |
| PXE를 통한 우분투/XP 설치 (0) | 2009.12.09 |
2nd order low pass filter 이런 용어가 나오길래 도대체 저 2nd order가 먼지 찾아봄.
필터가 얼마나 샤프하게 자를수 있냐 인데
2. 필터의 차수 (Order)
ㅇ `가파른 정도(첨예함,steepness)`을 보여줌 ☞ 롤오프율(Roll-off Factor) 참조
- 필터 응답의 천이대역 영역에서의 가파른 정도(첨예함,steepness)를 나타냄
. 차수가 높을수록 이상필터 처럼 더 나은 성능을 보이지만, 구현비용이 더 많이 듬
2차 필터는 L-C 가 2개 있는 필터 라고 보면 되는데
3. 필터의 차수 및 함수의 例
ㅇ 차수별 특징
- 1차 필터 : L 또는 C가 1개 만 있는 수동 필터, 롤오프율 ±20 dB/decade, 위상천이 ±90˚
- 2차 필터 : L 또는 C가 2개 만 있는 수동 필터, 롤오프율 ±40 dB/decade, 위상천이 ±180˚
- 3차 필터 : L 또는 C가 3개 만 있는 수동 필터, 롤오프율 ±60 dB/decade, 위상천이 ±270˚
- n차 필터 : L 또는 C가 n개 만 있는 수동 필터, 롤오프율 ±n20 dB/decade, 위상천이 ±n90˚
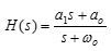
수식으로는 1차는 말그대로 a1*s+a0 라면
ㅇ 1차 필터 함수

2차는 a2*s^2 + a1 * s + a0 으로 2차 (n차 다항식 중 2차) 함수로 표현된다.
ㅇ 2차 필터 함수 ☞ 2차 시스템 전달함수 참조

[링크 : http://www.ktword.co.kr/test/view/view.php?m_temp1=3022]
![]() |
[링크 : https://community.sw.siemens.com/s/article/Acquisition-Filters-and-Overshoot]
'이론 관련 > 전기 전자' 카테고리의 다른 글
| RC 회로 - RC 발진 / LPF / HPF (0) | 2023.07.10 |
|---|---|
| pvt - process voltage temperature (0) | 2023.06.30 |
| 진폭 복조 (0) | 2023.06.09 |
| 인덕턴스 (0) | 2023.04.20 |
| Wilkinson power divider (0) | 2023.03.13 |
파일 이벤트를 감시하는 API
그런데 내용만 봐서는 디렉토리 레벨로는 어떻게 감시가 되는데
파일시스템 오류로 파티션 전체가 read only로 바뀌면
해당 이벤트가 모니터링 되는진 좀 더 봐야 할 듯.
[링크 : https://man7.org/linux/man-pages/man7/inotify.7.html]
[링크 : https://sonseungha.tistory.com/436]
[링크 : https://dataonair.or.kr/db-tech-reference/d-lounge/technical-data/?mod=document&uid=236732]
'Linux API > linux' 카테고리의 다른 글
| /proc/pid/statm (0) | 2023.10.23 |
|---|---|
| malloc() 으로 할당된 메모리 리스트? (0) | 2023.10.19 |
| system v shmget size (0) | 2023.01.09 |
| segfault시 calltree 출력하기 (0) | 2022.11.28 |
| pthread 테스트 (0) | 2022.11.24 |
3세대 까진 2560x1600@60hz 최대
4세대 이후 부터 4k60p 가능
[링크 : https://www.intel.com/content/www/us/en/support/articles/000025675/graphics.html]
다만 메인보드 내장된 HDMI 변환 칩에 따라(LS-PCON / level shifter - protocol converter)
HDMI2.0 이냐 HDMI 1.4냐가 갈리면서 4k30p와 4k60p가 혼재하게 되는 듯.
[링크 : https://community.intel.com/t5/Graphics/LS-PCON-HDMI-chip-installed-in-laptop/td-p/1412502]
7세대 에서 DP를 통해 4k60p 되는건 확인했음
'개소리 왈왈 > 컴퓨터' 카테고리의 다른 글
| 삼성 always 9 13인치 분해 (0) | 2023.07.12 |
|---|---|
| intel 내장형 그래픽과 4k60p(DP) (0) | 2023.06.22 |
| 1050 구매 (0) | 2023.06.20 |
| 박스 컴퓨터.. 실패? (0) | 2023.06.18 |
| cpu 4핀 파워 (0) | 2023.06.18 |

