프로그램 사용/synergy2023. 6. 15. 10:27

접속도 다 정상적으로 되는데 마우스가 안넘어 간다.

그래서 찾아보니 barrier가 wayland를 지원하지 않아 발생하는 문제일 듯.

 

아무튼 로그인 시에 세션을 ubuntu x.org로 선택하니 문제없이 작동한다.

[링크 : https://github.com/debauchee/barrier/issues/1659]

 

하여간에.. 멀 하던.. wayland는 갈길이 먼가...

'프로그램 사용 > synergy' 카테고리의 다른 글

synergyc - synergy client for linux  (2) 2010.03.20
시너지 (Synergy) for linux  (4) 2010.01.15
시너지 (Synergy) - KVM 프로그램(?)  (4) 2009.11.13
Posted by 구차니
파일방2023. 6. 14. 14:56

운분투에서 chm 보려니 안되서 검색

일단 xchm 을 먼저 했는데 안열리고(나중에 다른 chm 열어 봐야하나..)

 

패키지를 chm으로 검색하니 튀어나온게 kchmviwer

kde 극혐하는데.. 22.04 에서 KDE쪽 쭈르륵 설치 안해도 되는게 신기하네.. 기본으로 gnome + kde를 해둔건가?

아니면 qt를 깔아놔서 추가 프로그램 없이 되는걸까?

 

$ sudo apt install kchmviewer
패키지 목록을 읽는 중입니다... 완료
의존성 트리를 만드는 중입니다... 완료
상태 정보를 읽는 중입니다... 완료        
다음의 추가 패키지가 설치될 것입니다 :
  libqt5positioning5 libqt5sensors5 libqt5webchannel5 libqt5webkit5 libqt5xml5 libzip4
다음 새 패키지를 설치할 것입니다:
  kchmviewer libqt5positioning5 libqt5sensors5 libqt5webchannel5 libqt5webkit5 libqt5xml5 libzip4
0개 업그레이드, 7개 새로 설치, 0개 제거 및 8개 업그레이드 안 함.
13.6 M바이트 아카이브를 받아야 합니다.
이 작업 후 50.8 M바이트의 디스크 공간을 더 사용하게 됩니다.
계속 하시겠습니까? [Y/n] 

 

 

[링크 : https://askubuntu.com/questions/8205/how-to-view-chm-files]

'파일방' 카테고리의 다른 글

flipper zero  (0) 2024.02.13
bytran - hitran 시뮬레이터?  (0) 2023.08.21
barrier - fork of synergy  (0) 2023.01.02
fsn (fusion) - file system navigator  (0) 2022.08.26
tsdb influxdb  (0) 2022.07.05
Posted by 구차니

머지? 끊고나서 이상해서 검색해보니 수상한게 많네

 

02-9410-9016

[링크 : https://www.thecall.co.kr/bbs/board.php?bo_table=phone&wr_id=988638]

 

아무튼

전화와서는 시청률 조사 부탁한다고 8개 항목만 하면 된다고 해서 씹었는데

막무가내로 해서 그냥 심심(?)하기도 하니 진행

 

1.  TV 보시나요?

> TV를 어떻게 정의하죠? (이걸로 한 3분 멍..)

> 공중파랑 iptv랑 이런것 중에 어떤것을 tv라고 하시나요? 하니 그제서야 대응

 

2. 가족 몇분이신가요

> 그냥 말했는데 검색해보고 나니 찜찜

 

3. 가족 나이대

> 그냥 말했는데 검색해보고 나니 찜찜 2

 

4. 가족중에 방송국 일하는분 계시나요?

> 이건 왜 묻지? 경찰이런것도 아니고?

 

5. 지역

> oo 지역 통계에만 들어갑니다~ 하고 끝

 

6. 그래서 어디시라구요?

> tns 라고 한것 같은데 정확하진 않음

 

 

아무튼 먼가 찜찜해서 다시 전화거니 받질 않는다.

높은 확율로 누군가와 통화중일텐데 지네는 걸고 받는건 막힌걸 봐서는 작은 규모는 아닌 피싱일 것 같은데

댓글을 보면 2019년 정도부터 비슷한 사람이 비슷한 업무를 하는걸 보면 정체가 멀까?

'개소리 왈왈 > 육아관련 주저리' 카테고리의 다른 글

날씨 35도 돌파  (0) 2023.06.19
오랫만에 벼룩시장  (0) 2023.06.17
청소  (0) 2023.06.04
기절  (0) 2023.06.03
  (0) 2023.05.28
Posted by 구차니
개소리 왈왈/컴퓨터2023. 6. 13. 23:33

괜히 이상한데 꽂힌것 같은데..

i5-3570 살리겠다고 일이 너무 커지는 느낌..

 

[링크 : https://prod.danawa.com/info/?pcode=3682987]

Posted by 구차니

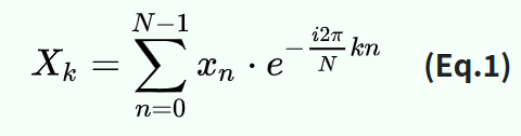
이산 푸리에 변환 자체가 원래 그런거다.. 라는 의미인가?

Because the discrete Fourier transform matches the input signal with complex exponentials and a cosine is the sum of two complex exponentials divided by 2. The same is true of a sine (except it's divided by 2i)
That is where the factor of 1/2 is coming from. Since you have a real-valued signal, if you are only interested in looking at the magnitude, you can just keep the "positive" frequencies and scale them by 2.
ThemeCopy

[링크 : https://kr.mathworks.com/matlabcentral/answers/84141-why-fft-function-returns-amplitude-divided-by-2]

 

수식을 흐린눈으로 봐도.. 모르겠다.

[링크 : https://en.wikipedia.org/wiki/Discrete_Fourier_transform]

 

fftw 가 실제로 계산하는 것이라는데 수식상으로는 e^-2 밖에 눈에 안띄는데 어떤 부분이 divide by 2 부분일까?

The forward (FFTW_FORWARD) discrete Fourier transform (DFT) of a 1d complex array X of size n computes an array Y, where:


.The backward (FFTW_BACKWARD) DFT computes:.

[링크 : https://www.fftw.org/fftw3_doc/The-1d-Discrete-Fourier-Transform-_0028DFT_0029.html]

 

 

+

2023.06.16

이해를 못하고 있었는데 아래글을 읽고 아! 싶어졌다.

 

Size of FFT in 1D is not half of the signal length. It's still the signal length (assuming FFT length was of the signal length). However for real data, due to conjugate symmetryhalf of this is redundant and can be dicarded to reduce storage. Note however that, when it's required to process the FFT data, you have to construct the full length from the half and proceed.

This is also the reason why spectral analysis software display only positive frequencies for real data; i.e, negative frequencies will be a mirror copy (of the magnitude) of positive frequencies.

But you don't have to discard the half. You can just retain it.

For image processing, the symmetry of FFT for real input data again exist and if you wish you can also dicard half of the image FFT data. Whether this will be employed or not depends on the intentions of the package.

아니요.

1D에서 FFT의 크기는 신호 길이의 절반이 아닙니다. 여전히 신호 길이입니다(FFT 길이가 신호 길이라고 가정). 그러나 실제 데이터의 경우 공액 대칭으로 인해 이 중 절반이 중복되며 저장 공간을 줄이기 위해 버려질 수 있습니다. 단, FFT 데이터 처리가 필요한 경우 절반에서 전체 길이를 구성하여 진행해야 합니다.

이것이 스펙트럼 분석 소프트웨어가 실제 데이터에 대해 양의 주파수만 표시하는 이유이기도 합니다. 즉, 음수 주파수는 양수 주파수의 (크기의) 거울 사본이 될 것입니다.

그러나 절반을 버릴 필요는 없습니다. 그대로 유지하시면 됩니다.

이미지 처리의 경우 실제 입력 데이터에 대한 FFT의 대칭이 다시 존재하며 원하는 경우 이미지 FFT 데이터의 절반을 버릴 수도 있습니다. 이것이 사용될지 여부는 패키지의 의도에 따라 다릅니다.

[링크 : https://dsp.stackexchange.com/questions/55239/why-is-the-size-of-results-from-fft-half-the-size-of-the-input-while-that-is-no]

[링크 : https://brianmcfee.net/dstbook-site/content/ch06-dft-properties/Conjugate-Symmetry.html]

 

예전 mathwork 에서 double sided amplitude 라는 그래프가 있었는데

실제로 FFT 변환은 -N/2 ~ 0 ~ N/2 대역에 대해서 나오지만

부호만 다를뿐 대칭된 정보이기에 메모리가 귀하던 시절 메모리 절약을 위해 절반을 휙~ 날려 버린 듯.

그래서 FFT 변환(? DFT?)을 하면 일반적으로 0~N/2 까지의 주파수가 나오고, 그걸 대칭시켜서 써야 하는 듯.

 

[링크 : https://kr.mathworks.com/help/matlab/ref/fft.html]

 

이해가 갈 듯.. 안 갈 듯 한데

복소수 공간에서 대칭적으로 나오기 때문에 한쪽만 계산하면 다른쪽 벡터가 없어서 절반 길이만 나온다고 보면 될 것 같기도?

[링크 : https://brianmcfee.net/dstbook-site/content/ch06-dft-properties/Conjugate-Symmetry.html]

 

+

켤례 복소수 하니 먼가 단어가 익숙한 느낌 (-_-)

실수를 복소수로 바꾸는건 허수가 0인 걸로 바꾸면 되는거고

켤레 복소수는 실수는 냅두고 허수부 부호만 뒤집으면 된다고.

공액(켤레) 복소수 

[링크 : https://kwon-jjing.tistory.com/40]

'프로그램 사용 > fft, fftw' 카테고리의 다른 글

fft window 함수  (0) 2023.07.03
pFFFT 사용법  (0) 2023.06.15
overlap kissfft  (0) 2023.06.12
fft size overlap window size  (0) 2023.06.12
fftw 라이브러리 사용 테스트  (0) 2023.06.12
Posted by 구차니

fftw에서 overlap 하는 예제는 못 찾았고

kissfft를 이용해서 (bsd-3 clause) 하는 예제도 아니고 걍.. git 발견

 

아무튼 아래와 같이 입력을 중첩하고 결과를 낸다는데

그림을 봐도 어떻게 데이터를 구성하고 합쳐내는지 감이 안온다.


overlap add
input

output


[링크 : https://github.com/fbdp1202/DSP_Overlap-Save_Overlap_Add]

'프로그램 사용 > fft, fftw' 카테고리의 다른 글

pFFFT 사용법  (0) 2023.06.15
fft 결과의 amplitude가 0.5가 나오는 이유  (0) 2023.06.13
fft size overlap window size  (0) 2023.06.12
fftw 라이브러리 사용 테스트  (0) 2023.06.12
fft 잘못 사용하고 있었나?  (0) 2023.06.02
Posted by 구차니

'프로그램 사용 > fft, fftw' 카테고리의 다른 글

fft 결과의 amplitude가 0.5가 나오는 이유  (0) 2023.06.13
overlap kissfft  (0) 2023.06.12
fftw 라이브러리 사용 테스트  (0) 2023.06.12
fft 잘못 사용하고 있었나?  (0) 2023.06.02
fft 라이브러리 목록  (0) 2023.06.01
Posted by 구차니

fftw()에

1. 입력 범위는 크게 의미 없으나 0.0~1.0 사이로 1의 높이로 정규화 하는 것이 용이할 수도 있음

2. DC 성분은 fft_result[0]에 있으며 / Sample 을 하면 DC 성분의 높이를 알 수 있음

2. sine() 성분은 fft_result[1~1/N]에 있으며 / Sample 을 하면 sine() 성분의 높이를 알 수 있음. (+/- x로 해석?)

3. phase는 모르겠다 -ㅁ-

-----------------

입력 값 범위 테스트

그냥 정상적인 0~1 사이의 실수 범위 입력

  for ( i = 0; i < n; i++ )
    in[i] = ( double ) sin ( 360.0f * (double)i / n  * 3.1415927f / 180.0f);

 

입력 범위 확인

출력 결과

도대체.. 1Hz 에서 32는 무슨 의미냐..

샘플링 횟수로 나눌게 아니라 최대 주파수 로 나누어야 하는건가?

  Input Data:

    0,    0.000000
    1,    0.098017
    2,    0.195090

...

  Output FFT Coefficients:

    0,   -0.000000,    0.000000,    0.000000
    1,    0.000003,  -32.000000,   32.000000
    2,   -0.000000,    0.000001,    0.000001

 

걍 무지성으로 100,000 곱하기(0 다섯개)

  for ( i = 0; i < n; i++ )
    in[i] = ( double ) sin ( 360.0f * (double)i / n  * 3.1415927f / 180.0f) * 100000;

 

FFT 결과 자체는 동일하지만(?) 결과 자체는 곱해준 100,000 만큼 증가

  Input Data:

    0,    0.000000
    1, 9801.714305
    2,19509.032738

...

  Output FFT Coefficients:

    0,   -0.008742,    0.000000,    0.008742
    1,    0.271011,-3199999.955619,3200000.000000
    2,   -0.008742,    0.118444,    0.118767

 

위상(phase)

동일 값, 위치만 8 칸 미룸(8/64 = 1/8 phase)

phase는 atan(b/a) 로 계산한다는데 일단 하라는대로 하니, -1.5 대충 pi/2 정도 최대값으로 나오는 듯.

  Input Data:

    0,    0.000000
    1, 9801.714305
    2,19509.032738
    3,29028.468510
    4,38268.344246
    5,47139.674887
    6,55557.024665
    7,63439.329895
    8,70710.679664
    9,77301.046896
   10,83146.962748
   11,88192.127851
   12,92387.954506
   13,95694.034604
   14,98078.528786
   15,99518.473069
   16,100000.000000


  Output FFT Coefficients:

    0,   -0.008742,    0.000000,    0.008742,    3.141593
    1,    0.271011,-3199999.955619,3199999.955619,   -1.570796
    2,   -0.008742,    0.118444,    0.118767,    1.644472
  Input Data:

    0,70710.679664
    1,77301.046896
    2,83146.962748
    3,88192.127851
    4,92387.954506
    5,95694.034604
    6,98078.528786
    7,99518.473069
    8,100000.000000
    9,99518.472212
   10,98078.527081
   11,95694.032066
   12,92387.951160
   13,88192.123730
   14,83146.957891
   15,77301.041350
   16,70710.673482

  Output FFT Coefficients:

    0,    0.119650,    0.000000,    0.119650,    0.000000
    1,2262741.972266,-2262741.421146,3199999.995629,   -0.785398
    2,   -0.048261,    0.083753,    0.096663,    2.093553

[링크 : https://blog.naver.com/lyb0684/221159899932]

 

atan과 atan2는 범위가 다르다고 한다. (범위가 달라지는 거지 radian을 degree로 계산하는게 달라지는건 아니니..)

atan
RETURN VALUE
       On success, these functions return the principal value of the arc  tan‐
       gent of x in radians; the return value is in the range [-pi/2, pi/2].

atan2
RETURN VALUE
       On  success, these functions return the principal value of the arc tan‐
       gent of y/x in radians; the return value is in the range [-pi, pi].

 

아무튼 귀찮으니 atan2의 radian 값 출력을 각도로 변환해서 출력해보면

  for ( i = 0; i < nc; i++ )
  {
      printf ( "  %3d,%12f,%12f,%12f,%12f,%12f\n", i, out[i][0], out[i][1],  
      sqrt(out[i][0] * out[i][0] +  out[i][1] * out[i][1]),
      atan2(out[i][1], out[i][0]) * 180 / PI,
      atan(out[i][1] / out[i][0]) * 180 / PI
  }

[링크 : https://spiralmoon.tistory.com/entry/프로그래밍-이론-두-점-사이의-절대각도를-재는-atan2]

 

뭔가 잘못 계산한 느낌이다?

+ 0      1,    0.000003,  -32.000000,   32.000000,  -89.999993,  -89.999993
+ 8     1,   22.627420,  -22.627414,   32.000000,  -44.999992,  -44.999992
+ 16     1,   32.000000,    0.000004,   32.000000,    0.000008,    0.000008
+ 32     1,   -0.000006,   32.000000,   32.000000,   90.000007,  -89.999988

 

 

+

DC성분

아래와 같이 1.0 값으로 64개를 만들어 fft를 돌리면

  for ( i = 0; i < n; i++ )
  { 
    in[i] = ( double )1.0f;
  }

 

64번 샘플링한게 1씩 있어서 합산하여 64가 나오나?

아무튼 실수부의 경우 -와 +의 차이가 있지만 abs()로 처리하면 부호가 사라지니 같은 값으로 보이게 된다.

  Output FFT Coefficients:

    0,   64.000000,    0.000000,   64.000000,    0.000000,    0.000000,    0.000000
  Output FFT Coefficients:

    0,  -64.000000,    0.000000,   64.000000,    3.141593,  179.999995,   -0.000000

 

0.5로 하면 32가 나온다. 도대체 이 DC는 어떻게 해석해야 할까?

  Output FFT Coefficients:

    0,   32.000000,    0.000000,   32.000000,    0.000000,    0.000000,    0.000000

 

sin() * 0.5는 DC 성분이 0으로 나오고 1Hz 에서는 16 으로 나온다(0.5로 봐야하나?)

  Output FFT Coefficients:

    0,   -0.000000,    0.000000,    0.000000,    3.141593,  179.999995,   -0.000000
    1,    0.000001,  -16.000000,   16.000000,   -1.570796,  -89.999993,  -89.999993
    2,   -0.000000,    0.000001,    0.000001,    1.644472,   94.221297,  -85.778698

 

sin() * 0.5 + 0.5(0.0~1.0=1.0) 하면 DC 32에 1Hz 16 (1 * 16?)

 

걍 맘편하게 주파수는 진폭, DC는 

  Output FFT Coefficients:

    0,   32.000000,    0.000000,   32.000000,    0.000000,    0.000000,    0.000000
    1,    0.000001,  -16.000000,   16.000000,   -1.570796,  -89.999993,  -89.999993
    2,   -0.000000,    0.000001,    0.000001,    1.644472,   94.221297,  -85.778698

 

sin() 은(-1.0~1.0=2.0 Height?) DC 0 1Hz 32 (2 * 16?)

 

  Output FFT Coefficients:

    0,   -0.000000,    0.000000,    0.000000,    3.141593,  179.999995,   -0.000000
    1,    0.000003,  -32.000000,   32.000000,   -1.570796,  -89.999993,  -89.999993

 

sin() * 0.5 + 0.5 (0.0~1.0=1.0) 에 절반의 파형만 줄 경우

1Hz에 18 

  Output FFT Coefficients:

    0,   26.177734,    0.000000,   26.177734,    0.000000,    0.000000,    0.000000
    1,    0.500000,  -18.177734,   18.184609,   -1.543297,  -88.424406,  -88.424406
    2,   -3.403504,   -0.000000,    3.403504,   -3.141593, -179.999990,    0.000005

 

sin(2x)

 

sin 주기가 늘어났다고 해서 16이 아니게 되는건 또 아니네?

그 와중에 0.5의 DC는 또 32.. 도대체 머냐고?!

0.5 * 64 = 32

sine 16/32 = 0.5. 혹시 +-0.5 라는건가?

  Output FFT Coefficients:

    0,   32.000000,    0.000000,   32.000000,    0.000000,    0.000000,    0.000000
    1,   -0.000000,   -0.000001,    0.000001,   -1.716660,  -98.357374,   81.642621
    2,    0.000003,  -16.000000,   16.000000,   -1.570796,  -89.999988,  -89.999988
    3,   -0.000000,    0.000001,    0.000001,    1.652756,   94.695926,  -85.304069
    4,   -0.000000,    0.000001,    0.000001,    1.718417,   98.458014,  -81.541981

 

혹시나 해서 sin(2x) * 0.1 + 0.9 해보는데

57.6

산술적으로는 64 * 0.9 = 57.6

3.2 / 32 = 0.1 이니.. DC랑 혼합될 때랑 단독일때랑 다르게 나오나?

(+- 0.1 로 해석하면 쉬울지도?)

  Output FFT Coefficients:

    0,   57.600000,    0.000000,   57.600000,    0.000000,    0.000000,    0.000000
    1,   -0.000000,   -0.000000,    0.000000,   -1.716660,  -98.357374,   81.642621
    2,    0.000001,   -3.200000,    3.200000,   -1.570796,  -89.999988,  -89.999988
    3,   -0.000000,    0.000000,    0.000000,    1.652756,   94.695926,  -85.304069

 

sin(2x)의 절반 파형만 도배!

고조파 처럼 나오네?

DC 52.3

4Hz 6.8, 8Hz 1.42, 12Hz 0.65, 16Hz 0.39, 20Hz 0.28, 24Hz 0.23, 28Hz0.20,  32Hz 0.19 (합계 10.251662)

  Output FFT Coefficients:

    0,   52.306340,    0.000000,   52.306340,    0.000000,    0.000000,    0.000000
    1,    0.000000,    0.000000,    0.000000,    0.000000,    0.000000,        -nan
    2,    0.000000,    0.000000,    0.000000,    0.000000,    0.000000,        -nan
    3,    0.000000,    0.000000,    0.000000,    0.000000,    0.000000,        -nan
    4,   -6.856612,   -0.000001,    6.856612,   -3.141593, -179.999990,    0.000005
    5,    0.000000,    0.000000,    0.000000,    0.000000,    0.000000,        -nan
    6,    0.000000,    0.000000,    0.000000,    0.000000,    0.000000,        -nan
    7,    0.000000,    0.000000,    0.000000,    0.000000,    0.000000,        -nan
    8,   -1.425690,   -0.000000,    1.425690,   -3.141592, -179.999986,    0.000009
    9,    0.000000,    0.000000,    0.000000,    0.000000,    0.000000,        -nan
   10,    0.000000,    0.000000,    0.000000,    0.000000,    0.000000,        -nan
   11,    0.000000,    0.000000,    0.000000,    0.000000,    0.000000,        -nan
   12,   -0.652365,   -0.000000,    0.652365,   -3.141592, -179.999983,    0.000012
   13,    0.000000,    0.000000,    0.000000,    0.000000,    0.000000,        -nan
   14,    0.000000,    0.000000,    0.000000,    0.000000,    0.000000,        -nan
   15,    0.000000,    0.000000,    0.000000,    0.000000,    0.000000,        -nan
   16,   -0.397825,   -0.000000,    0.397825,   -3.141592, -179.999982,    0.000013
   17,    0.000000,   -0.000000,    0.000000,   -0.000000,   -0.000000,        -nan
   18,    0.000000,   -0.000000,    0.000000,   -0.000000,   -0.000000,        -nan
   19,    0.000000,   -0.000000,    0.000000,   -0.000000,   -0.000000,        -nan
   20,   -0.286168,   -0.000000,    0.286168,   -3.141592, -179.999983,    0.000012
   21,    0.000000,   -0.000000,    0.000000,   -0.000000,   -0.000000,        -nan
   22,    0.000000,   -0.000000,    0.000000,   -0.000000,   -0.000000,        -nan
   23,    0.000000,   -0.000000,    0.000000,   -0.000000,   -0.000000,        -nan
   24,   -0.231164,   -0.000000,    0.231164,   -3.141592, -179.999986,    0.000009
   25,    0.000000,   -0.000000,    0.000000,   -0.000000,   -0.000000,        -nan
   26,    0.000000,   -0.000000,    0.000000,   -0.000000,   -0.000000,        -nan
   27,    0.000000,   -0.000000,    0.000000,   -0.000000,   -0.000000,        -nan
   28,   -0.204855,   -0.000000,    0.204855,   -3.141593, -179.999990,    0.000005
   29,    0.000000,   -0.000000,    0.000000,   -0.000000,   -0.000000,        -nan
   30,    0.000000,   -0.000000,    0.000000,   -0.000000,   -0.000000,        -nan
   31,    0.000000,   -0.000000,    0.000000,   -0.000000,   -0.000000,        -nan
   32,   -0.196983,    0.000000,    0.196983,    3.141593,  179.999995,   -0.000000

'프로그램 사용 > fft, fftw' 카테고리의 다른 글

overlap kissfft  (0) 2023.06.12
fft size overlap window size  (0) 2023.06.12
fft 잘못 사용하고 있었나?  (0) 2023.06.02
fft 라이브러리 목록  (0) 2023.06.01
fftw 다차원 분석  (0) 2023.05.27
Posted by 구차니
개소리 왈왈/컴퓨터2023. 6. 11. 23:44

ATX 폼팩터라 어쩔수 없긴 한데..

어떻게 해도 파워가 쓸데없이 크고

어떻게 해도 파워 케이블(cpu 4핀) 길이가 답이 안나온다.

 

 

 

저놈의 파워가 겁나 거슬리네..

DC to DC를 사야하나?

 

한화로 32,862원 써있는데 구글에서는 왜 8936원이냐 -_-

[링크 : https://ko.aliexpress.com/item/4001266864322.html]

 

아무튼.. 저 가격에 저 성능이 나올수 있는지도 미지수고

400W 면 12V에 33A는 넘어야 하는데

50.5$ ... 미네랄 ㅋㅋㅋㅋㅋㅋ

[링크 : https://kr.made-in-china.com/co_szpcsy/product_Desktop-AC-DC-12V-30A-Power-Adapter-360W-AC-Adaptor_rionnyhhg.html]

'개소리 왈왈 > 컴퓨터' 카테고리의 다른 글

TFX 파워지름  (0) 2023.06.15
TFX 파워  (0) 2023.06.13
케이스 만들기 어렵네?  (0) 2023.06.10
미니 컴퓨터 만들기는 험란하다  (0) 2023.06.06
CPU fan은 그냥 DC 팬이 아니다  (0) 2023.06.06
Posted by 구차니
개소리 왈왈/컴퓨터2023. 6. 10. 22:48

mATX 규격 메인보드를 종이 상자에 넣어서 만들려고 하는데

파워서플라이 커넥터와 cpu 전원이랑 해서

위치와 케이블 길이가 참 미묘~하다라는 느낌

왜 이렇게 이상한 위치에다가 그리고 표준(?)  ATX에 늘려서 하지 않고

도대체 왜 메인보드에서 cpu에 직결하도록 파워를 설계했냐 까지 멘붕이 우스스스

 

아무튼 메인보드 자체는 크기가 나쁘지 않지만

ATX 파워가 너~~~무 크고, 돈을 들이면 줄일수 있긴 한데

400W 면은.. 12V에 최소 35A는 흘릴수 있어야 한다는건데.. 도대체 어떻게 되어먹은 시스템이어야 가능하려나?

[링크 : https://ko.aliexpress.com/item/4001266864322.html?pdp_npi=2%40dis%21KRW%21%E2%82%A932%2C862%21%E2%82%A932%2C862%21%21%21%21%21%402141005d16864047174667666e6deb%2110000015529029098%21btf&_t=pvid%3A9c6dd9a7-2343-4605-bd71-e60fbae0f8bd&afTraceInfo=4001266864322__pc__pcBridgePPC__xxxxxx__1686404717&spm=a2g0o.ppclist.product.mainProduct&gatewayAdapt=glo2kor]

'개소리 왈왈 > 컴퓨터' 카테고리의 다른 글

TFX 파워  (0) 2023.06.13
케이스 만들기는 일단 완료  (0) 2023.06.11
미니 컴퓨터 만들기는 험란하다  (0) 2023.06.06
CPU fan은 그냥 DC 팬이 아니다  (0) 2023.06.06
노트북 시트지 바름  (0) 2023.04.06
Posted by 구차니