2nd order low pass filter 이런 용어가 나오길래 도대체 저 2nd order가 먼지 찾아봄.
필터가 얼마나 샤프하게 자를수 있냐 인데
2. 필터의 차수 (Order)
ㅇ `가파른 정도(첨예함,steepness)`을 보여줌 ☞ 롤오프율(Roll-off Factor) 참조
- 필터 응답의 천이대역 영역에서의 가파른 정도(첨예함,steepness)를 나타냄
. 차수가 높을수록 이상필터 처럼 더 나은 성능을 보이지만, 구현비용이 더 많이 듬
2차 필터는 L-C 가 2개 있는 필터 라고 보면 되는데
3. 필터의 차수 및 함수의 例
ㅇ 차수별 특징
- 1차 필터 : L 또는 C가 1개 만 있는 수동 필터, 롤오프율 ±20 dB/decade, 위상천이 ±90˚
- 2차 필터 : L 또는 C가 2개 만 있는 수동 필터, 롤오프율 ±40 dB/decade, 위상천이 ±180˚
- 3차 필터 : L 또는 C가 3개 만 있는 수동 필터, 롤오프율 ±60 dB/decade, 위상천이 ±270˚
- n차 필터 : L 또는 C가 n개 만 있는 수동 필터, 롤오프율 ±n20 dB/decade, 위상천이 ±n90˚
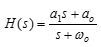
수식으로는 1차는 말그대로 a1*s+a0 라면
ㅇ 1차 필터 함수

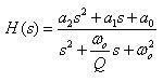
2차는 a2*s^2 + a1 * s + a0 으로 2차 (n차 다항식 중 2차) 함수로 표현된다.
ㅇ 2차 필터 함수 ☞ 2차 시스템 전달함수 참조

[링크 : http://www.ktword.co.kr/test/view/view.php?m_temp1=3022]
![]() |
[링크 : https://community.sw.siemens.com/s/article/Acquisition-Filters-and-Overshoot]
'이론 관련 > 전기 전자' 카테고리의 다른 글
| RC 회로 - RC 발진 / LPF / HPF (0) | 2023.07.10 |
|---|---|
| pvt - process voltage temperature (0) | 2023.06.30 |
| 진폭 복조 (0) | 2023.06.09 |
| 인덕턴스 (0) | 2023.04.20 |
| Wilkinson power divider (0) | 2023.03.13 |

